Selección adecuada de cables eléctricos para alimentación.
Selección adecuada de cables eléctricos para alimentación.
Selección adecuada de cables eléctricos para alimentación.
- Cables y filamentos eléctricos
- Reglas para seleccionar un cable para alimentación
- Cálculo del diámetro de cable requerido
- Selección de cables para instalación eléctrica - resumen
- ¿Te interesa la electrónica? Visita Tech Master Event
Cables y filamentos eléctricos
El cableado es un elemento básico y necesario de cualquier instalación eléctrica. La selección del tipo y la estructura adecuados de los cables para la aplicación planificada es tanto más importante cuanto que en la gran mayoría de los edificios residenciales y, a menudo, también en las grandes naves de producción, la instalación eléctrica se instala en la etapa de construcción y se oculta debajo del yeso en las paredes de las habitaciones. La selección incorrecta del cable puede provocar el desprendimiento de la fachada y, en consecuencia, una costosa sustitución. Lamentablemente, un error de este tipo también puede tener consecuencias mucho más graves, incluida la posibilidad de descarga eléctrica o incendio del edificio. Entonces, ¿qué necesita saber al elegir un cable eléctrico?
Reglas para seleccionar un cable para alimentación
El criterio básico para seleccionar un cable eléctrico debe ser la seguridad de uso. Debido a la protección contra descargas eléctricas y cortocircuitos, los cables eléctricos están protegidos con una capa aislante externa. Protege contra el contacto directo del usuario con el conductor y, al mismo tiempo, contra el cortocircuito de los conductores de fase adyacentes. Tanto la destrucción mecánica como el sobrecalentamiento y, en consecuencia, la fusión del aislamiento, conducen por lo tanto a un peligro inmediato. Además, la alta temperatura generada en los cables utilizados para una corriente demasiado alta puede provocar un incendio. Debido a las posibles consecuencias el cable eléctrico debe cumplir una serie de condiciones. Los requisitos para la selección de cables para la instalación se describen en detalle en las normas polacas y europeas, incluidos el estándar PN-IEC 60364-5-523:2001, que presenta las reglas para seleccionar cables con respecto a la capacidad de carga de corriente a largo plazo.
- Resistencia mecánica adecuada
Un tema extremadamente importante es el propósito del cable así como el lugar y método de instalación. Dependiendo de si el cable se coloca bajo el yeso o bajo el suelo, o si se conduce como una línea de cable aéreo, el riesgo de daños mecánicos cambia radicalmente, lo que requiere la selección de una sección y un material adecuados de los conductores.
Por ejemplo: los cables que están permanentemente instalados y protegidos contra daños (tal solución se puede encontrar, por ejemplo, en una instalación eléctrica empotrada), deben estar hechos de conductores de cobre con una sección transversal de 1,5mm2. Sin embargo, si se utilizan conductores de aluminio, su sección transversal debe ser de al menos 2,5mm2. Para cables ubicados a la intemperie sobre aisladores, donde la distancia entre los puntos de fijación es superior a 20m, la sección transversal del filamento de cobre debe ser de 6mm2, y la del filamento de aluminio debe ser de mín. 16mm2. Las pautas para seleccionar la sección de conductor adecuada se encuentran en la norma alemana DIN VDE 0100:2002.
- Resistencia a caídas de tensión en la instalación
Para su correcto funcionamiento, los dispositivos eléctricos necesitan una tensión igual o con una ligera desviación del valor nominal. Regula estos valores la norma PN-HD 60364-5-52:2011. Según sus directrices, para instalaciones de alumbrado de baja tensión alimentadas desde una red de distribución de baja tensión, el valor de la tensión nominal no debe ser inferior al 3%, y para el resto de receptores por debajo del 5%.
Cálculo del diámetro de cable requerido
Para calcular la sección de conductor requerida para instalaciones monofásicas y trifásicas, teniendo conocimiento de las condiciones de carga, se utilizan las fórmulas de la siguiente tabla:
| Tipo de instalación | Diámetro del cable [mm2] |
|---|---|
| Monofase | |
| |
| Trifásica | |
|
donde:
IB – corriente de carga[A];
l – longitud de cable[m];
γ – conductividad del material (para cobre: γ=56 m/(Ω∙mm2 ), para aluminio: γ=33 m/(Ω∙mm2)
∆U% - el porcentaje de caída de tensión en la instalación;Un – tensión nominal del receptor [V];
P – potencia activa del receptor [W].
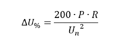
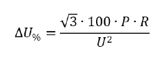
Para cables con secciones transversales S < 50mm2 para cobre y S < 70mm2 para aluminio, la caída de voltaje porcentual ∆U% en la instalación se calcula mediante las siguientes fórmulas:
| Tipo de instalación | Caída de tensión porcentual[%] |
|---|---|
| Monofase | |
| Trifásica | |
donde:
R – resistencia de cables [Ω] - R=l/(γ∙S)
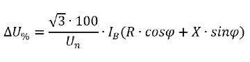
Si la sección transversal del conductor en el cable es mayor que los valores dados anteriormente, la resistencia X debe tenerse en cuenta en las fórmulas (para cables, el valor es 0,08∙10-3 Ω/m):
| Tipo de instalación | Caída de tensión porcentual[%] |
|---|---|
| Monofase | |
| Trifásica | |
- Capacidad para trabajar en condiciones de carga a largo plazo con la corriente diseñada y resistencia a sobrecargas a corto plazo
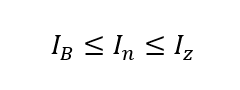
Para evitar el sobrecalentamiento de los conductores durante la transmisión de electricidad, el calor generado debe liberarse al medio ambiente de manera continua. La instalación eléctrica está diseñada para un funcionamiento continuo, bajo carga a largo plazo. Por lo tanto, para que la corriente de diseño no exceda las capacidades técnicas del cable, debe ser inferior al valor de la capacidad de conducción de corriente a largo plazo para el tipo y la sección transversal del conductor. Esta condición se describe mediante la siguiente fórmula:
donde:
IZ – carga de corriente permisible a largo plazo de un cable de un tipo y sección transversal específicos [A];
IB – cálculo de la corriente del diseño de línea [A].
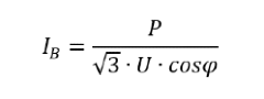
El valor del parámetro IZ adoptado de acuerdo con el estándar PN-IEC 60364-5 -53:2001 o con las recomendaciones individuales del fabricante del cable. Por otro lado, la siguiente tabla presenta las ecuaciones que permiten determinar el valor de la corriente de cálculo:
| Tipo de instalación | Cómputo de corriente de trabajo [A] |
|---|---|
| Monofase | |
| Trifásica | |
donde:
P – potencia computacional [W];
Un, U – tensión de fase/línea [V];
cosφ – factor de potencia (suponiendo 0,95).
Las sobrecargas a corto plazo suponen una amenaza adicional para el funcionamiento seguro de las instalaciones. Un conductor que tiene que transportar una carga que excede sus capacidades técnicas puede dañarse con una serie de consecuencias indeseables. Por lo tanto, se debe satisfacer la siguiente relación:
y
donde:
I2 – la corriente más pequeña que asegura la protección contra sobrecorriente [A].
- Eficacia de la protección contra descargas eléctricas en caso de cortocircuito - selección de protecciones de cables
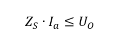
Un fenómeno muy peligroso es el cortocircuito entre los hilos o el cortocircuito con la parte conductora de la carcasa u otro elemento expuesto al tacto por parte del usuario. Para cumplir con la condición de protección contra descargas eléctricas, en la etapa de diseño de la instalación eléctrica, se debe proporcionar una protección adecuada contra cortocircuitos. La instalación debe cumplir las siguientes condiciones:
en donde:
UO – el valor de la tensión nominal de corriente alterna [V];
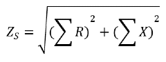
ZS – impedancia de bucle de falla;Ia – valor mínimo de corriente que provoca la activación de la protección [A].
donde:
∑R – Suma de resistencias;∑X – Suma de reactancia
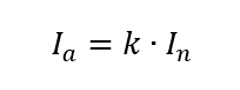
In – el valor de corriente nominal de la protección [A];
k – el múltiplo de la corriente que determina el funcionamiento de la protección (determinado a partir del esquema correspondiente incluido en la norma EN 60898)
Selección de cables para instalación eléctrica - resumen
Una instalación eléctrica bien hecha requiere el uso de materiales apropiados que cumplan una serie de condiciones. La selección de cables para tal instalación es uno de los factores más importantes que afectan la seguridad de su uso. Por esta razón, todos los pasos requeridos deben realizarse con el mayor cuidado y los materiales utilizados en la etapa de ensamblaje deben provenir de una fuente confiable y cumplir con los requisitos pertinentes.
¿Te interesa la electrónica? Visita Tech Master Event
Si estás dando tus primeros pasos en el mundo de la electrónica y creando tus primeros circuitos, Tech Master Event es el servicio que estás buscando. En la plataforma puedes publicar tus propios proyectos y buscar inspiración en los trabajos de otros usuarios.
Tech Master Event es también un espacio donde encontrarás muchas competiciones para jóvenes electrónicos de todo el mundo.

