¿Qué es la conductancia? Conductividad eléctrica de metales, agua y otros materiales.
¿Qué es la conductancia? Conductividad eléctrica de metales, agua y otros materiales.
¿Qué es la conductancia? Conductividad eléctrica de metales, agua y otros materiales.
La conductividad eléctrica es una medida de la capacidad de un material para conducir una corriente eléctrica y la cantidad de esa corriente. La conductividad eléctrica también se denomina conductividad y es una propiedad inherente de un material.
Conductancia y unidades de conductividad eléctrica.
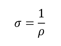
La conductividad eléctrica se denota con el símbolo σ y se expresa en el sistema SI de Siemens. El nombre de la unidad proviene del nombre de Werner Siemens, un conocido constructor e inventor en el campo de la ingeniería eléctrica.
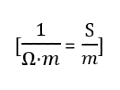
La fórmula para la conductividad específica es como:
donde:
σ – conductividad especifica
ρ – resistencia específica
A menudo, en el caso de soluciones acuosas, la conductividad se da como conductividad específica, en comparación con la conductividad del agua destilada a 25°C. La conductividad eléctrica del agua potable será diferente.
Relación entre conductividad eléctrica y resistencia.
La conductividad es el recíproco de la resistividad. La unidad de resistividad es Ω⋅m. El valor de 1⋅Ω m indica la resistencia (resistencia) de un conductor con una longitud de 1 m y un área de sección transversal de 1 m². La resistividad es un valor que caracteriza a un material dado. Sin embargo, su tamaño está influenciado por la temperatura y el símbolo ϱ (ro) se usa para indicar la resistividad. Cabe destacar que la resistividad y la resistencia son dos conceptos diferentes, aunque muy relacionados entre sí. Por lo tanto, los términos resistividad (resistencia específica) no deben confundirse con resistencia (resistencia eléctrica).
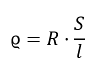
La relación entre resistencia y resistividad viene dada por la fórmula:
donde:
ϱ – resistividad (resistencia específica) [1Ω⋅m]
R – resistencia (resistencia eléctrica)[Ω]
S – el área de la sección transversal de un sólido[m²]
l – duración de la consideración de un sólido[m]
Esta fórmula se aplica a los materiales que cumplen la ley de Ohm.
Los sólidos se pueden dividir en tres grupos:
- metales, que son muy buenos conductores (resistencia específica del orden 10−8 Ω·m),
- semiconductores (10−6 Ω·m),
- aisladores (1010 – 1016 Ω·m).
La conductividad eléctrica en un conductor metálico aumenta gradualmente a medida que desciende la temperatura. Por debajo de la temperatura crítica, la resistencia en los superconductores cae a cero, por lo que la corriente eléctrica puede fluir a través del bucle del cable superconductor sin que se aplique ningún poder. En muchos materiales, la conducción se produce a través de electrones en forma de rayas o agujeros. Todos los iones se mueven en los electrolitos, transfiriendo su carga eléctrica neta. En soluciones de electrolitos, la concentración de especies iónicas es un factor clave en la conductividad del material.
Conductividad eléctrica de metales y otros materiales.
Los metales y el plasma son ejemplos de materiales con alta conductividad eléctrica. El elemento que es mejor conductor eléctrico es la plata. Los aislantes eléctricos, como el vidrio y el agua destilada, tienen una conductividad eléctrica deficiente. La mayoría de los no metales de la tabla periódica son conductores eléctricos y térmicos débiles. La conductividad de los semiconductores es intermedia entre el aislante y el conductor.
Ejemplos de excelentes conductores incluyen: plata, cobre, oro, aluminio, zinc, níquel, latón.
Los ejemplos de conductores eléctricos débiles incluyen, por ejemplo, caucho, vidrio, plástico, madera seca, diamante, aire. Recuerde que la corriente eléctrica es el movimiento ordenado de cargas eléctricas. En conductores es el movimiento de electrones libres, en semiconductores - electrones y los llamados agujeros, en electrolitos - iones, y en gases ionizados – iones y electrones. La conductividad eléctrica en los metales es el resultado del movimiento de partículas cargadas eléctricamente. Los átomos de los elementos metálicos se caracterizan por la presencia de electrones de valencia, que son electrones en la capa externa del átomo que pueden moverse libremente. Son estos "electrones libres" los que permiten que los metales conduzcan la electricidad.
Factores que influyen en la conductividad eléctrica
Temperatura: Cambiar la temperatura de la plata u otro conductor cambia su conductividad. En general, el aumento de la temperatura provoca la excitación térmica de los átomos y reduce la conductividad al tiempo que aumenta la resistividad. La relación es lineal pero se rompe a bajas temperaturas.
Polución: Agregar una impureza a un conductor reduce su conductividad. La plata oxidada no es tan buena conductora como la plata sin recubrimiento. La contaminación obstruye el flujo de electrones. Estructura y fases cristalinas: Si el material tiene diferentes fases, la conductividad en la interfaz será algo más lenta y puede diferir de una estructura a otra. La forma en que se procesa el material puede tener un efecto sobre qué tan bien conduce la electricidad.
Campos electromagnéticos: Los conductores crean sus propios campos electromagnéticos cuando una corriente eléctrica fluye a través de ellos, siendo el campo magnético perpendicular al campo eléctrico. Los campos electromagnéticos externos pueden crear magneto-resistencia, lo que puede ralentizar el flujo de corriente.
Frecuencia: El número de oscilaciones por segundo que realiza una corriente alterna es su frecuencia (medida en hercios). Por encima de cierto nivel, la alta frecuencia puede hacer que la corriente fluya alrededor del conductor y no a través de él (efecto pelicular). Como no hay oscilación y, por lo tanto, tampoco frecuencia, el efecto piel no se produce con la corriente continua.
Conductividad de otras sustancias
Los científicos estudian la conductividad de sustancias muy diferentes y para propósitos muy diferentes. En 2007, un grupo de investigadores de la Universidad Estatal de Ohio estudió la conductividad eléctrica de seis frutas frescas diferentes (manzana roja, manzana dorada, melocotón, pera, piña y fresa) y varias piezas diferentes de tres tipos de carne (pollo, cerdo, y carne de res) a temperaturas que oscilan entre 25 y 140°C. En todos los casos, la conductividad aumentó linealmente con la temperatura. En general, la fruta era menos conductora que las muestras de carne. Entre las frutas, los duraznos y las fresas fueron mejores conductores que las manzanas, las peras y las piñas. Las mediciones de conductividad de piezas de carne mostraron que la carne magra es significativamente más conductiva que la carne grasosa. Es interesante porque uno de los experimentos más famosos en el campo de la electrónica para niños es la creación de baterías a partir de frutas, como puedes ver, el tipo de fruta utilizada también puede ser importante en él. La conductividad eléctrica también se utiliza como parámetro al estudiar otros fenómenos, por ejemplo, la conductividad eléctrica del océano es un parámetro fundamental de la electrodinámica del sistema terrestre.
¿Te interesa la electrónica? Visita Tech Master Event
Si estás dando tus primeros pasos en el mundo de la electrónica y creando tus primeros circuitos, Tech Master Event es el servicio que estás buscando. En la plataforma puedes publicar tus propios proyectos y buscar inspiración en los trabajos de otros usuarios.
Tech Master Event es también un espacio donde encontrarás muchas competiciones para jóvenes electrónicos de todo el mundo.

